The work in this
paper was done by Dust Puppy. It is great work. I have abstracted from the
thread on EvE
Online, and make no claim
whatsoever on the work by doing so. The abstract was put together to help me put
together the Excel model, accessible from my website. The Excel work is mine,
but is based on Dust Puppy’s work which is abstracted herein.
-- Amunherkhepeshef
http://myeve.eve-online.com/ingameboard.asp?a=topic&threadID=116993
Edited
by: Dust Puppy on 18/10/2004
11:22:24
One of the most complicated part of your ship is your capacitor. Most of the
pilots in EVE have probably made the mistake of fitting their ship to
perfection only to realize in battle that they don't have the juice to run it
all.
The capacitor is mostly complicated because we don't really know the recharge
rate curve. We know how long it takes for a capacitor to recharge fully and we
know how much power it can give when it's fully but we don't really know what
happens in between, that is until now.
Many of you have probably thought that the curve is of the familiar exponential
form:
C = C0(1-exp(-tau*t))
Well it's close but doesn't quite describe it though. According to the
exponential curve we would have optimal recharger at time
0 but according to my experience it is more when the capacitor is at about
30%-40%. I tried a similar curve of the form:
C = C0(1-1/cosh(tau*t))
And that one fitted like a glove. I can understand that you are hesitant to
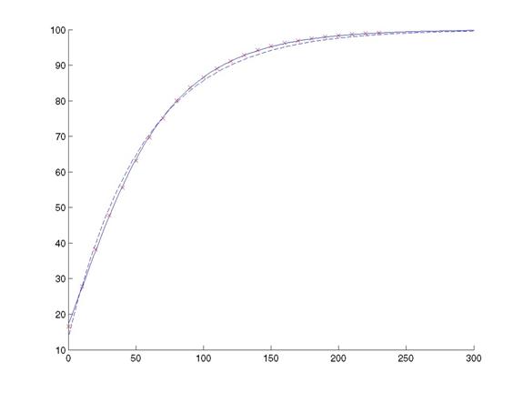
take my word for it but to further prove my point take a look at this picture. 
The broken
line is when I tried to fit the exponential curve but the solid line is the cosh line. The lines are very similar and that is no
coincident as cosh(x) function is defined:
cosh(x) = 1/2(exp(x) + exp(-x))
Now you are probably wondering what the hell tau is.
Well it's just a time constant which determines how fast your cap recharges. As
you might imagine it is dependant on T the recharge time. To be more exact it
is of the form:
tau = k/T
where k = 4.8 according to my measurements.
Taking the tangent of the curve on the figure above would give us the recharge
rate. You can see the recharge rate curve with the capacitor curve on this figure.
The
figures were made on a hypothetical ship that has 100 cap and 100 charges on
100 seconds. Does that mean that this hypothetical ship can maintain a module
that uses over 2 cap per second. Well not exactly. The
top that is close to 2.5 cap per second is just an instantanious recharge rate. When dealing with modules and
their usage we have to plot a curve over period of time. For example to see how
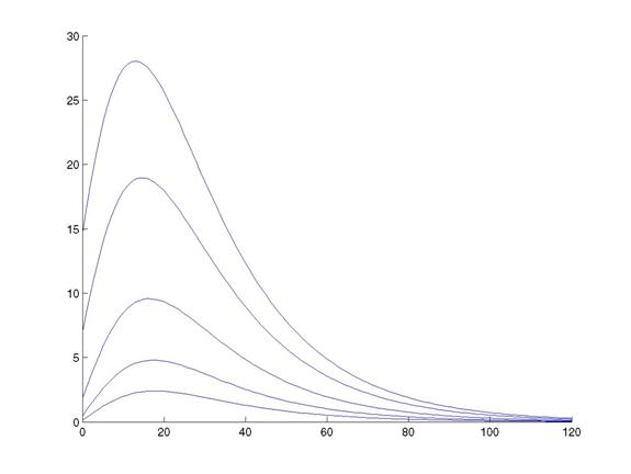
much a cap recharges over given period of time. I plotted a few of those curves
which you can see here.
The curves are
of the form.
C0(1-1/cosh(tau(t-t0)) - C0(1-1/cosh(tau*t)) = C0(1/cosh(tau*t)-1/cosh(tau(t-t0)))
Where t0 is 1, 2, 4, 8, 12 where 12 is for the top curve and 1 is for the
lowest curve. So for example if a module has 12sec in activation time this ship
could maintain it as long as it had under 27 cap in activation cost and that
would be when the capacitor were 20 seconds from being empty which would be
when the cap is around 32%.
The graph I've shown you are kind of useless for practical purposes as we don't
know what time it is since the the cap was empty. And
since we are always activating modules it's impossible for us to know. A much
more useful curve is one that shows capacitor recharge as a function of the
state of the capacator. You can see that curve here

As can be seen from that figure the capacitor has the maximum recharge when it
is about 30% full.
What does this all mean then and how can you benefit from it. Well you can
already benefit from knowing when the capacitor is at maximum recharge and can
use that to your advantage. Another useful thing is to compare modules. I used
a Moa as a model, why you might ask, well I really really like that ship. It has 1100 cap and recharge time
393sec. I plotted a number of cap-cap recharge curves. You can see the figure here. 
I did not
apply any skill to my numbers and I used only tech 1 modules. The cap battery
is medium cap batter I which gives 240 cap.
I hope this research can be of use to anyone.
------------------------------------------------------
Well if
you look at this
picture (the lower one) and now that the ship has 100 cap
and recharge time of 100 sec which means an average of 1 cap per sec you see
that the max recharge rate is a bit less than 2.5 cap per sec. So your
theoretical max capacitor recharge is about 2.4*(average recharge rate).

This is a theoretical max recharge rate expect it to appear a little less in
reality.
------------------------------------------------------
Edited
by: Moominer on 18/02/2005 12:48:26
What is the function for the graph showing the
recharge rate as a function of the state of the capacitor?

Edited by: Dust Puppy on 18/10/2004 16:30:59
------------------------------------------------------
Be careful
with that maximum cap recharge formula. If you look at the this
figure again. Let's say we are going to see
how much cap we can recharge in 12 seconds. Then the top curve applies. We can
see that it can recharge about 28cap in 12 seconds. Now let's say we have a
module that uses 28 cap every 12. So as long as we activate the module at 30%
cap plus 28 (what the hell is the unit on cap anyway). Now the module shoot
activate and after 12 seconds we have again reached 28 units above 30% cap so
we can keep this module running indefinitly.

The problem how ever that if we don't activate the module at exactly the right
time we can't get this recharge and eventually this module will drain the cap.
So even if the formula says you can recharge 2.5x(max
capacitor)/(recharge time) it is very improbable that you can maintain a module
that requires that recharge time.
People have been saying for a while that the max recharge rate is something
about 1.63x(max capacitor)/(recharge time) (I think that's
it anyway I'm not really good at remembering numbers) which I don't doubt that
it is a good number to use in practice.
What you can do though is to take a look at this
picture.
Now just to be
on the safe site you decide to put in a "margin of error". For
example let's say you lower the the constant in the
max recharge rate formula to 2.0 then you know that between 15% cap and 55% cap
your capacitor charges more than that.
Edit: @Kayinan Malrean, I
thought about comparing combos of cap modules on certain ships but so far I've
only been doing this manually. The combonations of
modules are so large that I wouldn't even know how to begin. The best solutions
would of course be to create a program where you could select a ship, modules
and skills and make it plot the curves for you but I really don't have that
much time to do it. Having said that then there is ofcourse
nothing to stop anyone else from creating the program after all you all know
the formula now.
------------------------------------------------------
Dust, to clean up the last graph a bit, which is a super
graph, could you just compare cap relay and power diag
vs the unmodified? Or at least make two seperate graphs for the midslot
and lowslot cap-modifying items? It's kind of hard to
see, but your graph makes PDU look like more of a solid mod than I thought
before for helping cap.
I can do that but just not right now as I'm stuck in a Java networking
assignment and I just spent 2 hours looking for a bug in the wrong file
You'll just have to use this one. To be more clear then the lowest black one is the
unmodified, the green one that has the highest max capacitor recharge rate is
the cap power relay and the pdu is the magenta one in
the middle that reaches nearly as high as the yellow cap flux coil and a bit
lower than the red capacitor recharger.

your right the pdu does pretty well given that it
also boosts your grid, shield and shield recharge but it is sadly the only
viable low slot cap enhancing module we have. Although the cap flux coil does have
a little higher max shield recharge rate it has a lot less cap.
------------------------------------------------------
is it safe to assume that perhaps the same basic
formula is used to calculate sheild rechage rates?
I think it's pretty safe to assume that. I do not know for sure but I would be
surprised if the shield and the capacitor behaved differently.
I have been trying to derive this function from the
original function of time, but my math is not really up to scratch, so any help is much
appreciated.
Well you can start by differentiating the formula for capacitor capacity to
get.
dc(t)/dt = tau*tanh(tau*t)/cosh(tau*t)
Then you isolate the t out of the formula for capacitor capacity to get
t = (1/tau)*acosh(1/(1-C/C_0)
Then all that is left is to stick in the t that we have isolated from the
capacitor capacity formula and stick it in the formula for capacitor recharge
rate and simplify. It's kind of pointless for me to show that though, come to
think of it it's probably pointless to show you anything but the final solution
Anyway I simplified it as much as I could and this is
what I my result.
dc(C) = tau*(1-C/C_0)*sqrt(2*C/C_0 - (C/C_0)^2)
---------------------------------------------------------
This is all fine and dandy, but I have no clue what all these variables are nor
how I could put them in a simple f(x) function for graphing. I would like to
know this exact formula so I can play around with the numbers a bit.
Capacitor capacity vs. time
C = C_0(1-1/cosh(tau*t))
Recharge rate vs. time
dc(t)/dt = tau*tanh(tau*t)/cosh(tau*t)
Recharge rate vs. Capacitor capacity
dc(C) = tau*(1-C/C_0)*sqrt(2*C/C_0 - (C/C_0)^2)
C_0 is the maximum capacity of the capacitor
tau is 4.8/T => T = average recharge rate
-------------------------------------------------------------
It's all in there somewhere but your cap recharge is
optimal when it's around 30 percent full... lower then that and cap recharge
really starts to hit rock bottom.
Around the 30 percent mark, your cap recharge is roughly 2.5 times your
(linearly calculated) cap recharge (being total cap/recharge time)
So if you have 1000 cap size, 100s cap recharge time, you would have a linear
recharge of 10 cap/sec.... however, because cap recharge is not linear, around
30 percent your cap recharge will be 2.5 times 10cap/s or around 25 cap/s.
-------------------------------------------------------------
But for practical reasons i
always use 2.4 as multiplyer for optimal recharge.
Reason for this that 2.5 only excist in a small
window while 2.4 is true for a better part of your cap
between 30% and 40%.
I never undock any ship at all before i have done
calculations on cap usage/recharge for the ship with that current setup. that include EW, guns and all (and pack the ammo you can
sustain fireing as primary ammo) (i'm
gallente and AM is nice but you need to have enough
cap to use it)
-------------------------------------------------------------
I guess this may qualify as a bump, but with good
reason. I've noticed many people talking about how computationally
intensive this is, and they are right. That formula is insanely computationally
intensive, compared to something like a third order polynomial. I won't go into
detail, but there is really good evidence to suggest that the actual recharge
rate is a third order polynomial, since if you plot F(x)=12x(x-1)^2, you get a
curve that levels off at 1 (Consider that 100% full), with a recharge rate of
zero (As we'd expect, since it is full), and with a max recharge rate at 1/3 =
33.33% which is right around the experienced 30% mark. As well, consider the
plot of it's integral, as we see that we get a curve
that levels off at 1 (100%), which could represent 100% complete charge. Also,
this is much less computationally intensive, and significantly simpler than
something involving trig functions.
I don't have any data to back up this wild claim.....yet. I will be running
tests and gathering data, but for now all I have is this claim.
Now, in this thread, I could be taken as a heretic (Heck, that's been the case
on every one of my other posts), but for now I would be happy to hear some
constructive criticism.
The first thing I'm noticing about his Hyperbolic
Cosine solution is that it's inflection point (I.e:
Point of maximum recharge) occurs at about 18% charged, as opposed to the
observed 30-35% that we observe it at.
I also took some measurements from a nearly empty cap at 1 second intervals and
they are nice to get the general shape of the curve, but as for solving things,
they are pretty useless since we get integer values only. If there was a way to
get even a single decimal place (Consistently) then we'd be laughing and have a
99.8% accurate esitmate. If someone knows of a way,
I'd be more than happy to hear.
So, now, here is my proposed solution (And it appears that my previous
assumption about the cubic may be somewhat off, but we'll find out more soon):
If we denote Y[t] to be our function of time that returns the current cap value
(Since that is the only one we can measure, and therefore plot against), T to be
the recharge time, and C to be the max cap value when full, then we know the
following:
Y[0] = 0 (At 0 seconds after the cap is empty...it is still empty)
Y[T] = C (When it is done recharging, it is full)
Y'[T] = 0 (When it is done recharging, it is momentarily no longer charging,
which explains why it takes so long to recharge that last 15%)
Y''[K] = 0 (We get our Inflection point [I.e. point of maximum recharge] at
time K seconds after it is empty, and Y[K] = C/3)
There are most likely others, but I'll work with these for now. If anyone else
knows of something, please let me know.
From this information, we can solve for 4 constants, and so get ourselves a
cubic polynomial.
This is all preliminary, but I figure if someone was going to thinkg of something before me, it would be you guys, so
thoughts and ideas are appreciated.
-------------------------------------------------------------
“Hmm, I haven't
looked at the Shield recharge at all, but it is possible that it follows the
same model. I'll look into it after I satisfy myself with an answer I derive.”
Shields are based on the same module but it’s not 100% the same. My research
shows it peaks out a little higher at x2.5. I am interested and willing to help
any research done into shields.
-------------------------------------------------------------
Riebart, I have a B.Sc. in Electronic Engineering
which involves a fair bit of calculus. Also the peak happens at around 18%
time, that is if you would leave the capacitor empty you would notice the peak
when about 18% of the recharge time has passed but by then the capacitor will
be around 30% full.
Whether I'm right or wrong about the formula is really irrelevant. Actually the
chances of me "guessing" the right formula is pretty slim, it must be thousunds of
formula that actually fit that curve. The important part is really that this is
close enough that it makes no difference, at least not in practice. Well in
practice then I guess all you need to know is the maximum possible recharge
rate and when it occurs, which people already kind of knew by observation.
-------------------------------------------------------------
Oops, yes, so I see Dust Puppy. Sorry. I keep
forgetting that we are looking at a Cap vs. Time graph. But, plugging in we get
it at %29-ish charged, as you say in your first post. And I am familiar with
the amount of calculus involved in an Engineering degree as I have several
friends getting such a degree. I myself am moving ito
my third year of Honours Mathematics, so I've got my
own mathematical background.